Model Problem

Boundary Value Problems

Boundary value problems are like initial value problems, except we specify boundary conditions at more than one point, rather than specifying a set of initial conditions at the initial time. These problems tend to deal with space, rather than time, for obvious reasons. Typical engineering problems treated as boundary valueproblems include heat conduction, neutron diffusion, stress analysis, and beam deflections. For now we will confine ourselves to 1-dimensional problems, so we will deal only with ordinary differential equations and we will leave the partial differential equations for later.

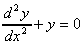
Our model problem for this topic will be:


with the two boundary conditions:

.

The general solution to the differential equation is . If we use the boundary conditions to determine the constants,we find the solution to be:

.

There are two main techniques used to solve these problems: the shooting method and finite difference methods.

 


[Mail the Author] [Home]

[Equation Types]

[Software Links]

[Search]

© 1997-98 by James Blanchard, University of Wisconsin-Madison.  This site was supported by Hewlett Packard and by the CIC.